proyectos proyectos fin de carrera
 
 
 
Utilidades
Evaluación económica
Plan de empresa
 
Varios
 
 
FORO Proyectos
 

 

Análisis económico de un proyecto


 

Todo proyecto, supone un desembolso económico del cual se espera un rendimiento, una ganancia.

Para que el inversor conozca la rentabilidad del proyecto, existen unas herramientas básicas de cálculo que nos indicarán la rentabilidad del proyecto.

Dentro de la memoria, se deberá incluir un análisis económico del proyecto.

Periodo de retorno de la inversión

Es el número de años que la empresa tarda en recuperar la inversión. Este método selecciona aquellos proyectos cuyos beneficios permiten recuperar más rápidamente la inversión, es decir, cuanto más corto sea el periodo de recuperación de la inversión mejor será el proyecto, generalizando:

Periodo retorno años Riesgo aceptado
1-3 Alto
4-7 Medio
8-12 Bajo

 

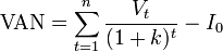
VAN

Permite calcular el valor presente de un determinado número de flujos de caja futuros, originados por una inversión.

La fórmula que nos permite calcular el Valor Actual Neto es:

van proyectos

Vt representa los flujos de caja en cada periodo t.

I0 es el valor del desembolso inicial de la inversión.

n es el número de períodos considerado.

El tipo de interés es k. Si el proyecto no tiene riesgo, se tomará como referencia el tipo de la renta fija, de tal manera que con el VAN se estimará si la inversión es mejor que invertir en algo seguro, sin riesgo especifico. En otros casos, se utilizará el coste de oportunidad.

Cuando el VAN toma un valor igual a 0, k pasa a llamarse TIR tasa interna de retorno). La TIR es la rentabilidad que nos está proporcionando el proyecto.

VAN> 0 El proyecto supera la rentabilidad exigida
VAN<0 El proyecto no supera la rentabilidad exigida.

TIR

Se denomina Tasa Interna de Rentabilidad (T.I.R.) a la tasa de descuento que hace que el Valor Actual Neto (V.A.N.) de una inversión sea igual a cero. (V.A.N. =0).

Este método considera que una inversión es aconsejable si la T.I.R. resultante es igual o superior a la tasa exigida por el inversor, y entre varias alternativas, la más conveniente será aquella que ofrezca una T.I.R. mayor.

La T.I.R. es un indicador de rentabilidad relativa del proyecto, por lo cual cuando se hace una comparación de tasas de rentabilidad interna de dos proyectos no tiene en cuenta la posible diferencia en las dimensiones de los mismos. Una gran inversión con una T.I.R. baja puede tener un V.A.N. superior a un proyecto con una inversión pequeña con una T.I.R. elevada.